กรมประมง
กระทรวงเกษตรและสหกรณ์
ข้อมูลองค์กร
ประวัติความเป็นมา
รายงานการประเมินส่วนราชการ
ตัวชี้วัดในการประเมินส่วนราชการ
อ่านต่อ
อำนาจหน้าที่/วิสัยทัศน์
ค่านิยมกรมประมง we are fisheries
ตราสัญลักษณ์เครื่องหมายราชการกรมประมง
อ่านต่อ
โครงสร้างหน่วยงาน
แผนภูมิโครงสร้างกรมประมง 63 ตาม 4 ภารกิจ
โครงสร้างกรมประมง
อ่านต่อ
ผู้บริหาร
ทำเนียบอดีตอธิบดีกรมประมง
ผู้บริหารกรมประมง
แผนยุทธศาสตร์
แผนปฏิบัติงาน 2568
งบประมาณรายจ่าย 2568
อ่านต่อ
ประกาศ นโยบายและแผน
นโยบายการไม่รับของขวัญและของกำนัลจากการปฏิบัติหน้าที่( NO GIFT Policy ) ประจำปีงบประมาณ พ.ศ. 2568
นโยบายการกำกับดูแลองค์การที่ดี กรมประมง ประจำปีงบประมาณ พ.ศ.2567
อ่านต่อ
ข่าวประชาสัมพันธ์
พระราชกรณียกิจ (ประมง)
ข่าวผู้บริหารกรมประมง
การช่วยเหลือประชาชน
จัดซื้อ จัดจ้าง
รายงานวิเคราะห์ผลการจัดซื้อจัดจ้าง ประจำปีงบประมาณ พ.ศ. 2565 กรมประมง กระทรวงเกษครและสหกรณ์
แผนจัดซื้อจัดจ้าง
อ่านต่อ
จำหน่ายสินค้าประมง
สินค้าประมงจากหน่วยงานส่วนภูมิภาค
สินค้าประมงจากหน่วยงานส่วนกลาง
ข่าวเด่นประเด็นร้อน
ประชาสัมพันธ์กรมประมง
ประเด็นปลาหมอคางดำ
คลังความรู้
ความรู้ด้านการประมง
ฐานข้อมูลทรัพยากรสัตว์น้ำและพรรณไม้น้ำ
หนังสืออิเล็กทรอนิกส์ด้านการประมง
อ่านต่อ
ข้อมูลวิจัย
ฐานข้อมูลงานวิจัยกรมประมง (e-Library)
TIRAs ระบบบริหารงานวิจัยอัจฉริยะ
อ่านต่อ
สื่อและวารสาร
วารสารการประมง
Infographic กรมประมง
อ่านต่อ
ข้อมูลสถิติ
รวมสถิติด้านประมง (ทุกหน่วยงานภายในกรมประมง)
สถิติผลการจับสัตว์น้ำจืดจากธรรมชาติ
อ่านต่อ
นโยบายด้านคอมพิวเตอร์
หัวข้อธรรมาภิบาลข้อมูล (Data Governance)
แนวทางปฏิบัติในการรักษาความมั่นคงปลอดภัยไซเบอร์เว็บไซต์ (Website Security Guideline)
อ่านต่อ
กฎหมายประมง
ข้อมูลเผยเเพร่
ระบบศูนย์กลางบริการรายการชุดข้อมูล และข้อมูลเปิด กรมประมง (DATA CATALOG&OPENDATA)
รายชื่อเรือประมงที่ถูกใช้ทำการประมงโดยไม่ชอบด้วยกฎหมาย
อ่านต่อ
บริการประชาชน
เพาะเลี้ยง / ส่งเสริมเกษตรกร
การขึ้นทะเบียนผู้ประกอบการด้านการประมง (ทบ.2)(N)
การขอหนังสือรับรองเป็นผู้มีสิทธิออกหนังสือกำกับการจำหน่ายสัตว์น้ำสวยงามเพื่อการส่งออก (N)
อ่านต่อ
บริหารจัดการทรัพยากรประมง
การขึ้นทะเบียนสถานกักกันสัตว์น้ำ (N)
การขอรับโอนปริมาณสัตว์น้ำคงเหลือจากการโอนใบอนุญาต ในลักษณะควบรวมปริมาณสัตว์น้ำ
อ่านต่อ
บริหารจัดการเรือประมง
การขอใบทะเบียนเรือขนถ่ายสัตว์น้ำหรือเรือเก็บรักษาสัตว์น้ำ
การแจ้งเข้า-ออกของเรือประมง
อ่านต่อ
แปรรูป / นำเข้าส่งออก
การอนุญาตผลิตวัตถุอันตรายทางการประมง
การอนุญาตครอบครองวัตถุอันตรายทางการประมง
อ่านต่อ
ระบบบริการอิเล็กทรอนิกส์ประชาชน
มาตรฐานด้านสุขอนามัยในเรือประมง (สร.3)
วารสารการประมง
อ่านต่อ
ศูนย์ข้อมูลข่าวสาร กรมประมง
ระบบศูนย์กลางบริการรายการชุดข้อมูล และข้อมูลเปิด กรมประมง (DATA CATALOG&OPENDATA)
ศูนย์ข้อมูลข่าวสารราชการ กรมประมง
สรุปผลการจัดซื้อ (แบบ สขร.1)
ศูนย์ข้อมูลข่าวสารราชการ
สรุปผลการจัดซื้อ (แบบ สขร.1) รายปี
อ่านต่อ
สถิติการให้บริการ
การให้บริการผ่านระบบ e-Submission ของกรมประมง
เจ้าหน้าที่
ระบบสารสนเทศภายใน
สมุดโทรศัพท์ กรมประมง (e-Diary)
ระบบจองห้องอบรมออนไลน์
อ่านต่อ
ระบบสนับสนุนการปฏิบัติงาน
ระบบบันทึกการสัมภาษณ์ในการคัดกรองแรงงานต่างด้าว ในภาคประมงทะเลตามกลไกการส่งต่อระดับชาติ (NRM)
ระบบหนังสือรับรองยื่นจดทะเบียนเรือไทย
อ่านต่อ
คู่มือหรือแนวทางการปฏิบัติงานของเจ้าหน้าที่
แนวทางการเชื่อมโยงแลกเปลี่ยนข้อมูลบุคคลของกรมประมง เพื่อรองรับการปรับเปลี่ยนสู่ระบบบูรณาการฐานข้อมูลประชาชนและบริการภาครัฐ Linkage Center 2
คู่มือการปฏิบัติงาน สำหรับพนักงานเจ้าหน้าที่ในการตรวจสอบและบังคับใช้กฎหมาย ที่เกี่ยวข้องกับร้านขายปัจจัยการผลิตทางการเพาะเลี้ยงสัตว์น้ำ
อ่านต่อ
ติดต่อเรา
หน่วยงานส่วนกลาง
สหกรณ์ออมทรัพย์กรมประมง
คณะกรรมการบริหารเงินทุนหมุนเวียนในการผลิตพันธุ์ปลา พันธุ์กุ้ง และพันธุ์สัตว์น้ำอื่นๆ
อ่านต่อ
หน่วยงานส่วนภูมิภาค
ศูนย์วิจัยและพัฒนาสุขภาพสัตว์น้ำ
ศูนย์วิจัยและพัฒนาเทคโนโลยีอาหารสัตว์น้ำ
อ่านต่อ
ติดต่อกรมประมง
Q&A กรมประมง ถาม-ตอบ
แจ้งข้อร้องเรียน ข้อเสนอแนะ
แผนผังเว็บไซต์
ช่องทางการรับฟังความคิดเห็น
ช่องทางการรับฟังความคิดเห็น สำหรับกลุ่มเปราะบาง
ช่องทางการรับฟังความคิดเห็น
ประเภทข้อมูลที่ค้นหา
กรมประมง
e-Book
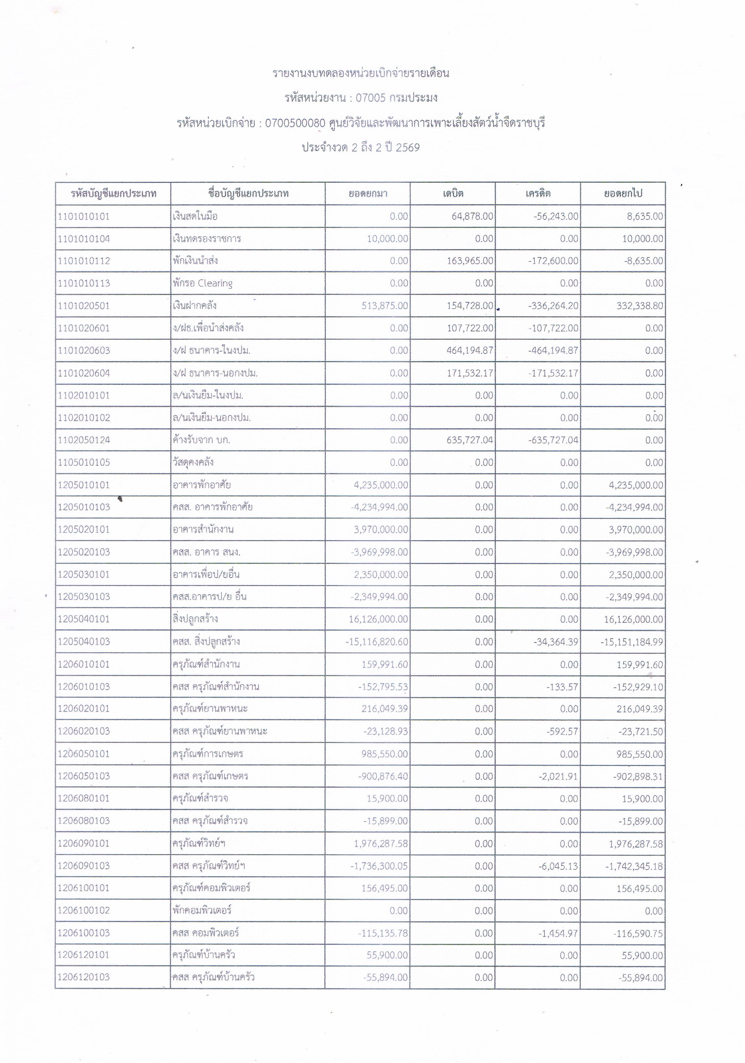
รายงานงบทดลองหน่วยเบิกจ่ายรายเดือน ประจำเดือน พฤศจิกายน 2568
หน้าหลัก
ข่าวกรมประมง
ศูนย์วิจัยและพัฒนาการเพาะเลี้ยงสัตว์น้ำจืดราชบุรี
04 ธ.ค. 2568
1 วัน
5
ฟังเสียงบรรยาย
หยุดเสียงบรรยาย
รายงานงบทดลองหน่วยเบิกจ่ายรายเดือน ประจำเดือน พฤศจิกายน 2568
ที่มา :
ศูนย์วิจัยและพัฒนาการเพาะเลี้ยงสัตว์น้ำจืดราชบุรี
แชร์เนื้อหา :