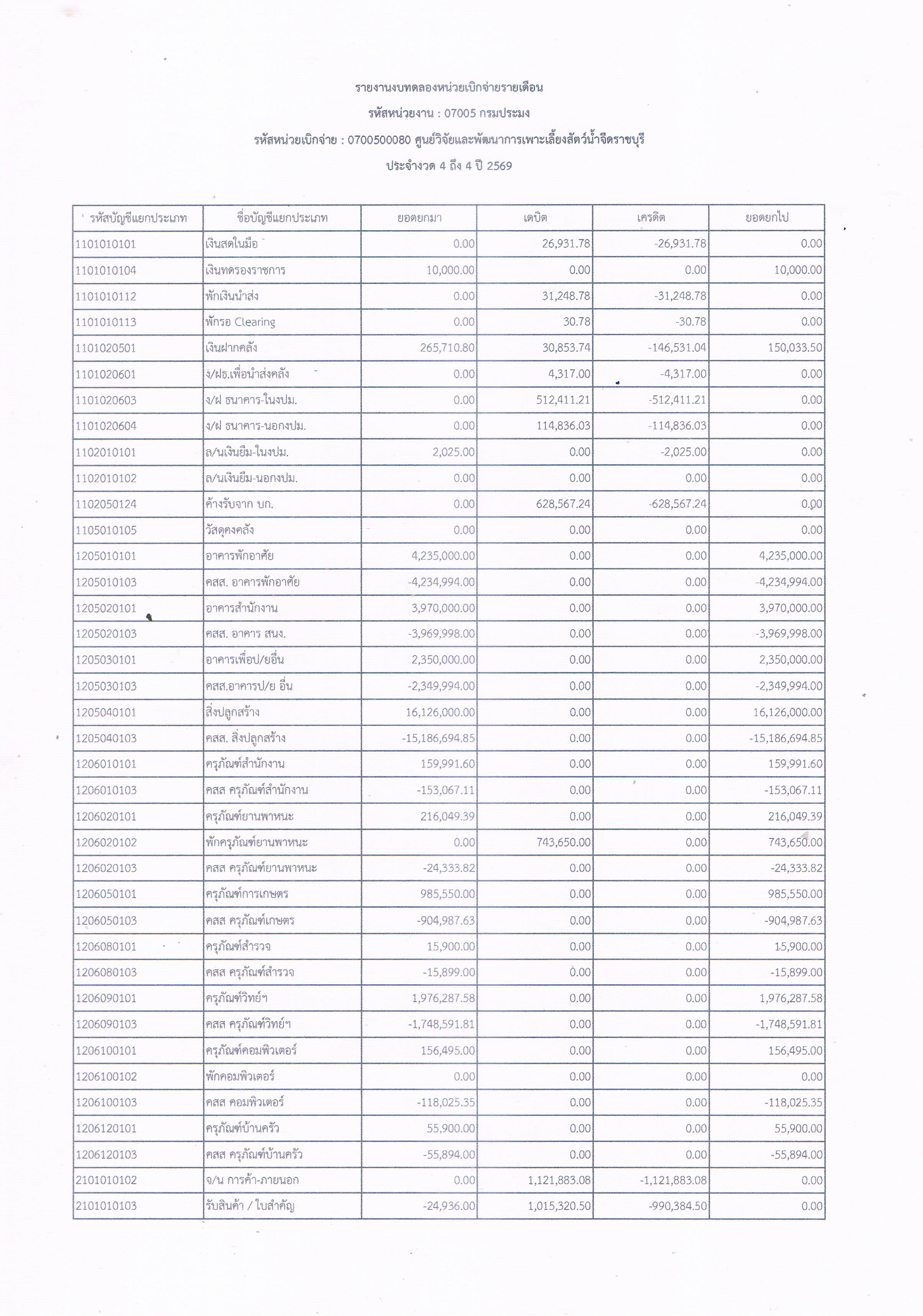
รายงานงบทดลองหน่วยเบิกจ่ายรายเดือน ประจำเดือน มกราคม 2569

 ศูนย์วิจัยและพัฒนาการเพาะเลี้ยงสัตว์น้ำจืดราชบุรี


รายงานงบทดลองหน่วยเบิกจ่ายรายเดือน ประจำเดือน มกราคม 2569 


ส่ง email แชร์ X ส่ง Line แชร์ Facebook
ฟังเสียงบรรยาย
ฟังเสียงบรรยาย

รายงานงบทดลองหน่วยเบิกจ่ายรายเดือน ประจำเดือน มกราคม 2569..คลิก

 Tags

  •   Hits
  • ลูกพันธุ์สัตว์น้ำพร้อมจำหน่ายสัปดาห์นี้ วันที่ 10 - 14 พฤศจิกายน พ.ศ. 2568 ลูกพันธุ์สัตว์น้ำพร้อมจำหน่ายสัปดาห์นี้ วันที่ 10 - 14 พฤศจิกายน พ.ศ. 2568  จำนวนผู้อ่าน 136  ลูกพันธุ์สัตว์น้ำพร้อมจำหน่ายสัปดาห์นี้ วันที่ 1 - 4 ธันวาคม พ.ศ. 2568 ลูกพันธุ์สัตว์น้ำพร้อมจำหน่ายสัปดาห์นี้ วันที่ 1 - 4 ธันวาคม พ.ศ. 2568  จำนวนผู้อ่าน 135 การประชุมการเเก้ไขปัญหาโรคสัตว์น้ำ (Mobile Clinic) พื้นที่จังหวัดราชบุรี และพื้นที่ใกล้เคียง ณ ที่ทำการกลุ่มวิสาหกิจชุมชนเเม่บ้านเกษตรกรโพหักรุ่งเจริญ จ.ราชบุรี การประชุมการเเก้ไขปัญหาโรคสัตว์น้ำ (Mobile Clinic) พื้นที่จังหวัดราชบุรี และพื้น... จำนวนผู้อ่าน 133 รับสมัครเกษตรกรเข้าร่วมโครงการส่งเสริมอาชีพการประมง กิจกรรมพัฒนาศักยภาพเกษตรกรสู่ Smart Farmer พ.ศ. 2569  รับสมัครเกษตรกรเข้าร่วมโครงการส่งเสริมอาชีพการประมง กิจกรรมพัฒนาศักยภาพเกษตรกรสู... จำนวนผู้อ่าน 131 รายงานงบทดลองหน่วยเบิกจ่ายรายเดือน ประจำเดือน ตุลาคม 2568 รายงานงบทดลองหน่วยเบิกจ่ายรายเดือน ประจำเดือน ตุลาคม 2568  จำนวนผู้อ่าน 125 ลงพื้นที่ตรวจวิเคราะห์คุณภาพน้ำในบ่อเลี้ยงปลาสลิด จังหวัดราชบุรี ตามมาตรการแก้ปัญหาการเลี้ยงปลาสลิด เฝ้าระวังและให้คำแนะนำเชิงรุก ด้านการจัดการคุณภาพน้ำและสุขภาพสัตว์น้ำ ลงพื้นที่ตรวจวิเคราะห์คุณภาพน้ำในบ่อเลี้ยงปลาสลิด จังหวัดราชบุรี ตามมาตรการแก้ปั... จำนวนผู้อ่าน 121 เดินหน้าเพาะพันธุ์  เดินหน้าเพาะพันธุ์ "ปลายี่สกไทย" ฟื้นคืนความอุดมสมบูรณ์ของปลาประจำถิ่นในแหล่งน้ำ... จำนวนผู้อ่าน 120 กิจกรรมจิตอาสาพัฒนา เนื่องในวันคล้ายวันสวรรคตพระบาทสมเด็จพระจุลจอมเกล้าเจ้าอยู่หัว “วันปิยมหาราช 23 ตุลาคม” กิจกรรมจิตอาสาพัฒนา เนื่องในวันคล้ายวันสวรรคตพระบาทสมเด็จพระจุลจอมเกล้าเจ้าอยู่ห... จำนวนผู้อ่าน 113 รายละเอียดประกอบรายการบัญชีที่สำคัญของงบทดลอง ประจำเดือน พฤศจิกายน 2568 รายละเอียดประกอบรายการบัญชีที่สำคัญของงบทดลอง ประจำเดือน พฤศจิกายน 2568  จำนวนผู้อ่าน 110 รายละเอียดประกอบรายการบัญชีที่สำคัญของงบทดลอง ประจำเดือน ตุลาคม 2568 รายละเอียดประกอบรายการบัญชีที่สำคัญของงบทดลอง ประจำเดือน ตุลาคม 2568  จำนวนผู้อ่าน 107 โครงการปกป้องและเชิดชุสถาบันพระมหากษัตริย์ และหน่วยบำบัดทุกข์บำข์บำรุงสุข สร้างรอยยิ้มให้ประชาชนจังหวัดราชบุรี (จังหวัดเคลื่อนที่) ประจำปีงบประมาณ พ.ศ. 2569 ณ วัดหนองกลางด่าน  โครงการปกป้องและเชิดชุสถาบันพระมหากษัตริย์ และหน่วยบำบัดทุกข์บำข์บำรุงสุข สร้างร... จำนวนผู้อ่าน 103 จังหวัดราชบุรีประกอบพิธีบำเพ็ญกุศลสวดพระอภิธรรมถวายเป็นพระราชกุศลสมเด็จพระนางเจ้าสิริกิติ์ พระบรมราชินีนาถ พระบรมราชชนนีพันปีหลวง จังหวัดราชบุรีประกอบพิธีบำเพ็ญกุศลสวดพระอภิธรรมถวายเป็นพระราชกุศลสมเด็จพระนางเจ้... จำนวนผู้อ่าน 102 ธ สถิตในดวงใจตราบนิจนิรันดร์ น้อมรำลึกในพระมหากรุณาธิคุณและร่วมถวายความอาลัยแด่ สมเด็จพระนางเจ้าสิริกิติ์ พระบรมราชินีนาถ พระบรมราชชนนีพันปีหลวง ธ สถิตในดวงใจตราบนิจนิรันดร์ น้อมรำลึกในพระมหากรุณาธิคุณและร่วมถวายความอาลัยแด่ ... จำนวนผู้อ่าน 99 ลูกพันธุ์สัตว์น้ำพร้อมจำหน่ายสัปดาห์นี้ วันที่ 15 - 19 ธันวาคม พ.ศ. 2568 ลูกพันธุ์สัตว์น้ำพร้อมจำหน่ายสัปดาห์นี้ วันที่ 15 - 19 ธันวาคม พ.ศ. 2568  จำนวนผู้อ่าน 95 วันปิยมหาราช ๒๓ ตุลาคม ๒๕๖๘ น้อมรำลึกในพระมหากรุณาธิคุณ พระบาทสมเด็จพระจุลจอมเกล้าเจ้าอยู่หัว รัชกาลที่ ๕ วันปิยมหาราช ๒๓ ตุลาคม ๒๕๖๘ น้อมรำลึกในพระมหากรุณาธิคุณ พระบาทสมเด็จพระจุลจอมเกล... จำนวนผู้อ่าน 93


    สงวนลิขสิทธิ์ พ.ศ.2569 ศูนย์วิจัยและพัฒนาการเพาะเลี้ยงสัตว์น้ำจืดราชบุรี

    รายละเอียด 78  หมู่ 2  ตำบลน้ำพุ  อำเภอเมือง  จังหวัดราชบุรี  70000  email  if.ratchaburi@gmail.com  โทรศัพท์ 032919572  FAX 032919573  แฟนเพจ แฟนเพจ
    CreativeCommons Valid CSS! Explanation of WCAG 2.1 Level Triple-AA Conformance SSL Labs ipv6