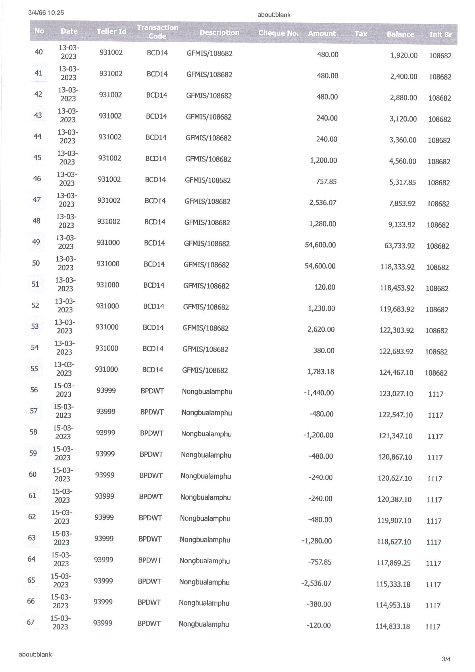
รายละเอียดประกอบรายการบัญชีที่สำคัญของงบทดลอง ประจำเดือน มีนาคม 2566

 สำนักงานประมงจังหวัดหนองบัวลำภู


รายละเอียดประกอบรายการบัญชีที่สำคัญของงบทดลอง ประจำเดือน มีนาคม 2566 


ส่ง email แชร์ X ส่ง Line แชร์ Facebook
ฟังเสียงบรรยาย
ฟังเสียงบรรยาย

รายละเอียดประกอบรายการบัญชีที่สำคัญของงบทดลอง ประจำเดือน มีนาคม 2566..คลิก

 Tags

  •   Hits
  • ร่วมแสดงความยินดี กับ นางสาวอรอาภา โล่ห์วีระ รองผู้ว่าราชการจังหวัดหนองบัวลำภู เนื่องในโอกาสได้รับการแต่งตั้งให้ดำรงตำแหน่ง รองผู้ว่าราชการจังหวัดพะเยา ร่วมแสดงความยินดี กับ นางสาวอรอาภา โล่ห์วีระ รองผู้ว่าราชการจังหวัดหนองบัวลำภู เ... จำนวนผู้อ่าน 289  ประกาศจังหวัดหนองบัวลำภู เรื่อง แจ้งให้มารับหลักประกันสัญญาคืน ประกาศจังหวัดหนองบัวลำภู เรื่อง แจ้งให้มารับหลักประกันสัญญาคืน  จำนวนผู้อ่าน 188  ปฏิบัติงานโครงการเพิ่มประสิทธิภาพการเกษตรมูลค่าสูง สู่เกษตรนวัตกรรมชั้นสูง กิจกรรมย่อยที่ 2 ส่งเสริมการเพิ่มผลผลิตสัตว์น้ำในแหล่งน้ำชุมชน (Y1) เพื่อติดตามให้คำแนะนำ และประเมินผลผลิตสัตว์น้ำของแหล่งน้ำ   ปฏิบัติงานโครงการเพิ่มประสิทธิภาพการเกษตรมูลค่าสูง สู่เกษตรนวัตกรรมชั้นสูง กิจก... จำนวนผู้อ่าน 130 กรมประมง...ร่วมส่งสุขปีใหม่ 2569 จัดแคมเปญใหญ่ส่งท้ายปี  เปิดเที่ยวฟรี !! สถานแสดงพันธุ์สัตว์น้ำ 10 แห่ง  มอบพันธุ์สัตว์น้ำ พร้อมบริการจัดชุดกระเช้าสินค้าประมงคุณภาพ กรมประมง...ร่วมส่งสุขปีใหม่ 2569 จัดแคมเปญใหญ่ส่งท้ายปี เปิดเที่ยวฟรี !! สถานแส... จำนวนผู้อ่าน 116 ร่วมพิธีสวดพระพุทธมนต์และทำบุญตักบาตรพระสงฆ์ 33 รูป เพื่ออุทิศถวายเป็นพระราชกุศลแด่สมเด็จพระนางเจ้าสิริกิติ์ พระบรมราชินีนาถ พระบรมราชชนนีพันปีหลวง ร่วมพิธีสวดพระพุทธมนต์และทำบุญตักบาตรพระสงฆ์ 33 รูป เพื่ออุทิศถวายเป็นพระราชกุศล... จำนวนผู้อ่าน 114 ร่วมกับคณะอนุกรรมการตรวจสอบความเสียหายด้านประมง ระดับหมู่บ้าน ลงพื้นที่ตรวจสอบฟาร์มเลี้ยงสัตว์น้ำ ของเกษตรกรที่ได้รับความเสียหายจากอุทกภัย ตามแบบยื่นความจำนงเพื่อขอรับการช่วยเหลือของเกษตรกรที่ประสบภัยพิบัติ ด้านการประมง (กษ.01)  ร่วมกับคณะอนุกรรมการตรวจสอบความเสียหายด้านประมง ระดับหมู่บ้าน ลงพื้นที่ตรวจสอบฟา... จำนวนผู้อ่าน 112 ร่วมพิธีอัญเชิญถ้วยพระราชทานพระบาทสมเด็จพระเจ้าอยู่หัว และสมเด็จพระนางเจ้าฯ พระบรมราชินี ประจำปี พ.ศ. 2568  ร่วมพิธีอัญเชิญถ้วยพระราชทานพระบาทสมเด็จพระเจ้าอยู่หัว และสมเด็จพระนางเจ้าฯ พระบ... จำนวนผู้อ่าน 109 ร่วมประชุมหัวหน้าส่วนราชการ หัวหน้าหน่วยงานรัฐวิสาหกิจ ผู้บริหารองค์กรปกครองส่วนท้องถิ่น ผู้บริหารสถานศึกษา กำนัน อำเภอศรีบุญเรือง ครั้งที่ 10/2568 ร่วมประชุมหัวหน้าส่วนราชการ หัวหน้าหน่วยงานรัฐวิสาหกิจ ผู้บริหารองค์กรปกครองส่วน... จำนวนผู้อ่าน 107  ร่วมประชุมคณะกรมการจังหวัด หัวหน้าส่วนราชการหน่วยงานของรัฐ อำเภอ องค์กรปกครองส่วนท้องถิ่น และองค์กรภาคเอกชนจังหวัดหนองบัวลำภู ครั้งที่ 9/2568 ประจำเดือนกันยายน 2568 และรับมอบเกียรติบัตรเป็นภาคีเครือข่าย ในการขับเคลื่อนการดำเนินงานผลงาน “โนนเมืองโมเดล ปฏิรูปไร่อ้อย สร้างเศรษฐกิจใหม่ ด้วยพลังชุมชน”ของสำนักงานเกษตรและสหกรณ์จังหวัดหนองบัวลำภู รางวัลเลิศรัฐ สาขาการบริหารราชการแบบมีส่วนร่วม ประเภทสัมฤทธิ์ผลประชาชนมีส่วนร่วมระดับดี ประจำปี พ.ศ. 2568   ร่วมประชุมคณะกรมการจังหวัด หัวหน้าส่วนราชการหน่วยงานของรัฐ อำเภอ องค์กรปกครองส่... จำนวนผู้อ่าน 101 ปฏิบัติงานโครงการเพิ่มประสิทธิภาพการเกษตรมูลค่าสูง สู่เกษตรนวัตกรรมชั้นสูง กิจกรรมย่อยที่ 2 ส่งเสริมการเพิ่มผลผลิตสัตว์น้ำในแหล่งน้ำชุมชน (Y1) และ (Y2) เพื่อติดตามให้คำแนะนำ และประเมินผลผลิตสัตว์น้ำของแหล่งน้ำ  ปฏิบัติงานโครงการเพิ่มประสิทธิภาพการเกษตรมูลค่าสูง สู่เกษตรนวัตกรรมชั้นสูง กิจกร... จำนวนผู้อ่าน 100 ร่วมประชุมคณะทำงานขับเคลื่อนงานด้านการเกษตรระดับอำเภอ เรื่อง การจัดทำปฏิทินผลผลิตสินค้าเกษตรรายเดือนระดับจังหวัด เพื่อการบริหารจัดการด้านความมั่นคงอาหารและโภชนาการ ปีการผลิต 2568 ครั้งที่ 1/2569 ร่วมประชุมคณะทำงานขับเคลื่อนงานด้านการเกษตรระดับอำเภอ เรื่อง การจัดทำปฏิทินผลผลิ... จำนวนผู้อ่าน 100  ปฏิบัติหน้าที่ตรวจสอบความเสียหายน้ำท่วมบ่อของเกษตรกร และตรวจสอบกับทะเบียนเกษตรกร ตามที่ได้รับแจ้งขอรับการช่วยเหลือของเกษตรกรที่ประสบภัยพิบัติด้านการประมง (กษ.01)   ปฏิบัติหน้าที่ตรวจสอบความเสียหายน้ำท่วมบ่อของเกษตรกร และตรวจสอบกับทะเบียนเกษตรก... จำนวนผู้อ่าน 99 ร่วมประชุมคณะกรรมการให้ความช่วยเหลือผู้ประสบภัยพิบัติอำเภอโนนสัง (ก.ช.ภ.อ.) ครั้งที่ 1/2568 ร่วมประชุมคณะกรรมการให้ความช่วยเหลือผู้ประสบภัยพิบัติอำเภอโนนสัง (ก.ช.ภ.อ.) ครั้... จำนวนผู้อ่าน 98 ลงพื้นที่ชี้แจงรายละเอียดโครงการตามแผนปฏิบัติราชการประจำปีของจังหวัดหนองบัวลำภู ประจำปีงบประมาณ 2569 โครงการยกระดับการผลิตด้านประมง กิจกรรม ส่งเสริมการเลี้ยงปลาตะเพียนขาวและปลานิลในบ่อดิน ลงพื้นที่ชี้แจงรายละเอียดโครงการตามแผนปฏิบัติราชการประจำปีของจังหวัดหนองบัวลำภู ... จำนวนผู้อ่าน 97 ร่วมพิธีสวดพระพุทธมนต์และพิธีสวดพระอภิธรรม อุทิศถวายแด่สมเด็จพระนางเจ้าสิริกิติ์ พระ บรมราชินีนาถ พระบรมราชชนนีพันปีหลวง ร่วมพิธีสวดพระพุทธมนต์และพิธีสวดพระอภิธรรม อุทิศถวายแด่สมเด็จพระนางเจ้าสิริกิติ์... จำนวนผู้อ่าน 96


    สงวนลิขสิทธิ์ พ.ศ.2569 สำนักงานประมงจังหวัดหนองบัวลำภู

    รายละเอียด เลขที่ 100 หมู่ที่ 10 บ้านหว้าทอง ตำบลหนองภัยศูนย์ อำเภอเมืองหนองบัวลำภู จังหวัดหนองบัวลำภู 39000 เลขประจำตัวผู้เสียภาษี 0-9940-00473-79-6    email  nongbuafpo@gmail.com  โทรศัพท์ 042378471  FAX 042378471  แฟนเพจ แฟนเพจ
    CreativeCommons Valid CSS! Explanation of WCAG 2.1 Level Triple-AA Conformance SSL Labs ipv6