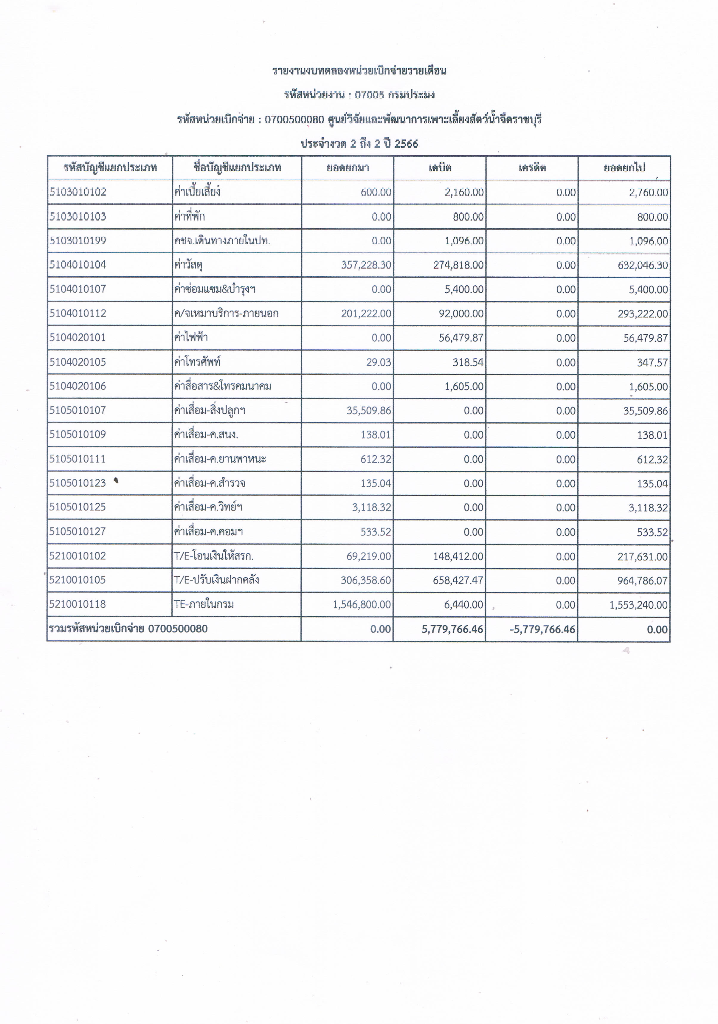
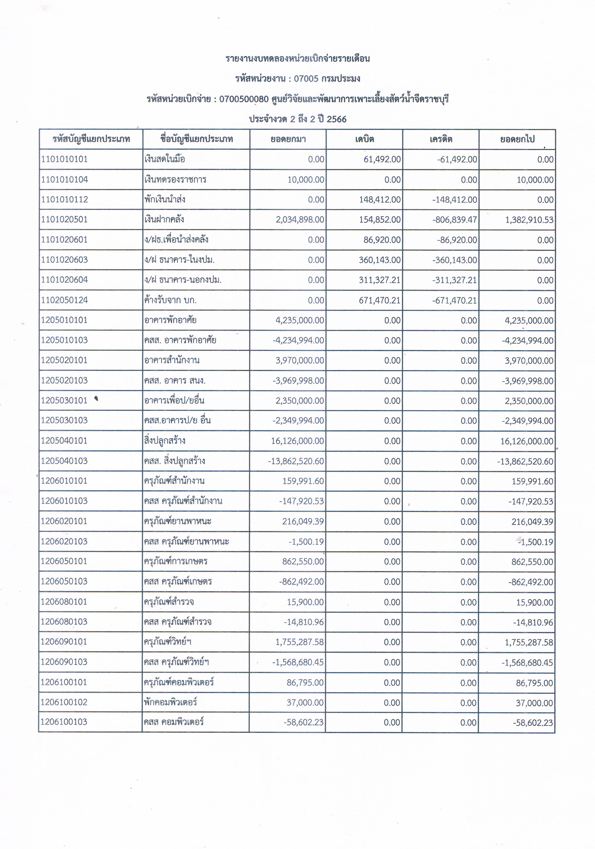
รายงานงบทดลองหน่วยเบิกจ่ายรายเดือน พฤศจิกายน 2565 ศูนย์วิจัยและพัฒนาการเพาะเลี้ยงสัตว์น้ำจืดราชบุรี

 ศูนย์วิจัยและพัฒนาการเพาะเลี้ยงสัตว์น้ำจืดราชบุรี


รายงานงบทดลองหน่วยเบิกจ่ายรายเดือน พฤศจิกายน 2565 ศูนย์วิจัยและพัฒนาการเพาะเลี้ยงสัตว์น้ำจืดราชบุรี 


ส่ง email แชร์ X ส่ง Line แชร์ Facebook
ฟังเสียงบรรยาย
ฟังเสียงบรรยาย

รายงานงบทดลองหน่วยเบิกจ่ายรายเดือน พฤศจิกายน 2565 ศูนย์วิจัยและพัฒนาการเพาะเลี้ยงสัตว์น้ำจืดราชบุรี..คลิก

 Tags

  •   Hits
  • ลูกพันธุ์สัตว์น้ำพร้อมจำหน่ายสัปดาห์นี้ วันที่ 19 - 23 พฤษภาคม พ.ศ. 2568 ลูกพันธุ์สัตว์น้ำพร้อมจำหน่ายสัปดาห์นี้ วันที่ 19 - 23 พฤษภาคม พ.ศ. 2568  จำนวนผู้อ่าน 96  ประเมินผลการปล่อยพันธุ์สัตว์น้ำ (CPUE) ครั้งที่ 2 หลังจากปล่อยพันธุ์สัตว์น้ำ ครั้งที่ 1 ณ ห้วยน้ำโจน หมู่ที่ 13 ตำบลรางบัว อำเภอจอมบึง จังหวัดราชบุรี ประเมินผลการปล่อยพันธุ์สัตว์น้ำ (CPUE) ครั้งที่ 2 หลังจากปล่อยพันธุ์สัตว์น้ำ ครั... จำนวนผู้อ่าน 83 ฝึกอบรมบุคคลภายนอก หลักสูตร “ส่งเสริมการเพาะเลี้ยงสัตว์น้ำชนิดที่ใกล้สูญพันธุ์เพื่อการส่งออก (ปลากระโห้)” ฝึกอบรมบุคคลภายนอก หลักสูตร “ส่งเสริมการเพาะเลี้ยงสัตว์น้ำชนิดที่ใกล้สูญพันธุ์เพ... จำนวนผู้อ่าน 82 ปล่อยพันธุ์กุ้งก้ามกราม ขนาด 5 – 7 เซนติเมตร จำนวน 40,000 ตัว/แหล่งน้ำ ณ คลองบางนางทวย ต.เกาะศาลพระ อ.วัดเพลง และคลองหนองยาว ต.เจดีย์หัก อ.เมืองราชบุรี จ.ราชบุรี ปล่อยพันธุ์กุ้งก้ามกราม ขนาด 5 – 7 เซนติเมตร จำนวน 40,000 ตัว/แหล่งน้ำ ณ คลองบาง... จำนวนผู้อ่าน 82 เผยแพร่แผนการจัดซื้อจัดจ้าง ประจำปีงบประมาณ พ.ศ. 2569 เผยแพร่แผนการจัดซื้อจัดจ้าง ประจำปีงบประมาณ พ.ศ. 2569  จำนวนผู้อ่าน 71 ลูกพันธุ์สัตว์น้ำพร้อมจำหน่ายสัปดาห์นี้ วันที่ 6 - 8 พฤษภาคม พ.ศ. 2568 ลูกพันธุ์สัตว์น้ำพร้อมจำหน่ายสัปดาห์นี้ วันที่ 6 - 8 พฤษภาคม พ.ศ. 2568  จำนวนผู้อ่าน 68 ประกาศกรมประมง เรื่อง แก้ไขชื่อพันธุ์สัตว์น้ำ และกำหนดราคาจำหน่ายพันธุ์สัตว์น้ำ ประกาศ ณ วันที่ 19 พฤษภาคม พ.ศ. 2568 ประกาศกรมประมง เรื่อง แก้ไขชื่อพันธุ์สัตว์น้ำ และกำหนดราคาจำหน่ายพันธุ์สัตว์น้ำ ... จำนวนผู้อ่าน 63 ลูกพันธุ์สัตว์น้ำพร้อมจำหน่ายสัปดาห์นี้ วันที่ 14 - 18 กรกฎาคม พ.ศ. 2568 ลูกพันธุ์สัตว์น้ำพร้อมจำหน่ายสัปดาห์นี้ วันที่ 14 - 18 กรกฎาคม พ.ศ. 2568  จำนวนผู้อ่าน 62 ลูกพันธุ์สัตว์น้ำพร้อมจำหน่ายสัปดาห์นี้ วันที่ 4 - 8 สิงหาคม พ.ศ. 2568 ลูกพันธุ์สัตว์น้ำพร้อมจำหน่ายสัปดาห์นี้ วันที่ 4 - 8 สิงหาคม พ.ศ. 2568  จำนวนผู้อ่าน 62 ประชาสัมพันธ์มาตรการบริหารจัดการทรัพยากรสัตว์น้ำจืดในฤดูปลาน้ำจืดมีไข่ (ฤดูน้ำแดง) ในปี 2568 พื้นที่จังหวัดราชบุรี กำหนด วันที่ 16 พฤษภาคม - 15 สิงหาคม พ.ศ. 2568  ประชาสัมพันธ์มาตรการบริหารจัดการทรัพยากรสัตว์น้ำจืดในฤดูปลาน้ำจืดมีไข่ (ฤดูน้ำแด... จำนวนผู้อ่าน 61 ปล่อยพันธุ์กุ้งก้ามกราม จำนวน 40,000 ตัว/แหล่งน้ำ โครงการบริหารจัดการทรัพยากรประมง ฯ การเพิ่มผลผลิตสัตว์น้ำในแหล่งน้ำชุมชนเพื่อเพิ่มรายได้และลดค่าครองชีพของประชาชน ประจำปีงบประมาณ พ.ศ. 2568 ณ อ่างเก็บน้ำวังปลาช่อน หมู่ที่ 1 ตำบลยางหัก และอ่างเก็บน้ำหนองโก ตำบลห้วยยางโทน อำเภอปากท่อ จังหวัดราชบุรี ปล่อยพันธุ์กุ้งก้ามกราม จำนวน 40,000 ตัว/แหล่งน้ำ โครงการบริหารจัดการทรัพยากรประ... จำนวนผู้อ่าน 59 ลูกพันธุ์สัตว์น้ำพร้อมจำหน่ายสัปดาห์นี้ วันที่ 30 มิถุนายน - 4 กรกฎาคม พ.ศ. 2568 ลูกพันธุ์สัตว์น้ำพร้อมจำหน่ายสัปดาห์นี้ วันที่ 30 มิถุนายน - 4 กรกฎาคม พ.ศ. 2568... จำนวนผู้อ่าน 59 ลูกพันธุ์สัตว์น้ำพร้อมจำหน่ายสัปดาห์นี้ วันที่ 29 กรกฎาคม - 1 สิงหาคม พ.ศ. 2568 ลูกพันธุ์สัตว์น้ำพร้อมจำหน่ายสัปดาห์นี้ วันที่ 29 กรกฎาคม - 1 สิงหาคม พ.ศ. 2568  จำนวนผู้อ่าน 59 รายงานงบทดลองหน่วยเบิกจ่ายรายเดือน ประจำเดือน มิถุนายน 2568 รายงานงบทดลองหน่วยเบิกจ่ายรายเดือน ประจำเดือน มิถุนายน 2568  จำนวนผู้อ่าน 54 รายละเอียดประกอบรายการบัญชีที่สำคัญของงบทดลอง ประจำเดือน กรกฎาคม 2568 รายละเอียดประกอบรายการบัญชีที่สำคัญของงบทดลอง ประจำเดือน กรกฎาคม 2568  จำนวนผู้อ่าน 51


    สงวนลิขสิทธิ์ พ.ศ.2568 ศูนย์วิจัยและพัฒนาการเพาะเลี้ยงสัตว์น้ำจืดราชบุรี

    รายละเอียด 78  หมู่ 2  ตำบลน้ำพุ  อำเภอเมือง  จังหวัดราชบุรี  70000  email  if.ratchaburi@gmail.com  โทรศัพท์ 032919572  FAX 032919573  แฟนเพจ แฟนเพจ
    CreativeCommons Valid CSS! Explanation of WCAG 2.1 Level Triple-AA Conformance SSL Labs ipv6